Artículo Científico / Scientific Paper

 

https://doi.org/10.17163/ings.n19.2018.09

 

pISSN: 1390-650X / eISSN: 1390-860X

ObtenciÓn de ACS con energÍa solar en

el cantÓn Cuenca y anÁlisis de la

contaminaciÓn ambiental

 

Obtaining of SHW with solar energy in

the canton cuenca and analysis of

environmental pollution

 

John Calle Sigüencia1,*, Óscar Tinoco Gómez1

 

Resumen

Abstract

En este documento se encuentra el análisis para determinar la factibilidad de implementación de calentadores solares para obtener Agua Caliente Sanitaria (ACS) en el Ecuador, en la provincia del Azuay, en el cantón Cuenca, con el fin de disminuir la contaminación ambiental provocada por el uso de combustibles fósiles. El proyecto considera la puesta en marcha de una red meteorológica y toma de datos de radiación solar global en 16 puntos ubicados zonas pobladas del cantón durante los años 2014 y 2015, posteriormente a través de un trabajo de campo se realiza un diagnóstico para establecer cuáles son los actuales sistemas usados para obtener ACS, también se analizan de manera teórica y práctica las eficiencias de dos tipos de calentadores solares de tubos de vacío para producción de ACS; con los datos de radiación medidos se modela aplicando las ecuaciones de transferencia de calor y se establece la factibilidad de implementación en función de la energía solar medida; finalmente, se realiza una comparación para determinar cuál sería la disminución de emanaciones si se ejecutaría esta propuesta. Los resultados obtenidos indican que el 82 % de familias utiliza ACS y de estas el 65 % emplean sistemas a base de GLP y, que el 44 % de la demanda de energía para obtener ACS puede ser cubierta con energía solar necesitando utilizar sistemas auxiliares para garantizar un abastecimiento constante. La implementación de estos sistemas permitiría reducir 108 537 tn eq al año.

This document contains the analysis to determine the feasibility of implementing solar water heaters to obtain Sanitary Hot Water (SHW) in Ecuador, in the province of Azuay, in the canton of Cuenca, in order to reduce environmental pollution caused by the use of fossil fuels. The project considers the implementation of a meteorological network and data collection of global solar radiation in 16 points located populated areas of the Canton during the years 2014 and 2015, later through a field work a diagnosis is made to establish which are the systems Currently used to obtain SHW, the efficiencies of two types of solar vacuum tube heaters for SHW production are also analyzed theoretically and practically; with the measured radiation data, it is modeled applying the heat transfer equations and the feasibility of implementation is established based on the measured solar energy; Finally, a comparison is made to determine what would be the decrease of emissions if the implementation would be carried out. The results obtained indicate that 82% of families use SHW and of these 65% use LPG-based systems and that 44% of the energy demand to obtain SHW can be covered with solar energy, using auxiliary systems to guarantee a constant supply. The implementation of these systems would reduce 108537 tn eq per year.

 

 

Palabras clave: calentador solar; contaminación ambiental, energía solar, tubos de vacío

 

Keywords: Solar heater; environmental pollution, solar energy, vacuum tubes

1,* Unidad de posgrados de la Facultad de Ingeniería Industrial, Universidad Nacional Mayor de San Marcos, Lima – Perú. Autor para correspondencia: jics_1970@hotmail.com, http://orcid.org/0000-0002-2148-3297, https://orcid.org/0000-0002-2548-2160

 

Recibido: 21-12-2017, aprobado tras revisión: 27-12-2017

Forma sugerida de citación: Calle, J.; Tinoco, O. (2018). «Obtención de ACS con energía solar en el cantón Cuenca y análisis de la contaminación ambiental». Ingenius. N.º19, (enero-junio). pp. 89-101. doi: https://doi.org/10.17163/ings.n19.2018.09.

 

 

89

 

 

90

INGENIUS N.º 19, enero-junio de 2018

 

1. Introducción

Desde la década de los 70 la preocupación por el medioambiente ha sido especialmente intensa, generando una serie de actuaciones, conferencias y acuerdos internacionales [1], entre sus puntos fundamentales está la disminución de la producción de y los gases de efecto invernadero, pero los resultados de las mismas han caído en buenas intenciones y no se han conseguido acciones eficientes que favorezcan este propósito a gran escala.

El uso de energías renovables ha generado un incremento en el desarrollo tecnológico siendo cada vez más fiables y con un alto rendimiento, lo que ha llevado a que su producción, comercialización e implementación aumente constantemente tanto para uso doméstico como para la industria.

Por los años 70 se empezó a utilizar la energía solar como una de las principales opciones para el uso en beneficio de las personas, países como Estados Unidos, Francia, Alemania, España, prestan gran atención al uso de la energía solar con fines térmicos y fotovoltaicos e introducen importantes porcentajes de generación energética. Para el año 2016 el 94 % de los sistemas térmicos solares instalados en el mundo se utilizan para obtener agua caliente [2].

El Ecuador es un país privilegiado en lo que al recurso solar se refiere, por su ubicación geográfica ya que el ángulo de incidencia de la radiación solar, es casi perpendicular a la superficie durante todo el año, situación que no ocurre en otros sitios del planeta, en donde el ángulo varía acorde a las estaciones del año. Esta ventaja posicional se traduce en la recepción de una mayor y constante cantidad de radiación solar (Figura 1), misma que varía dentro del territorio nacional únicamente por condiciones geográficas locales. La condición antes manifestada no ha sido considerada para aprovecharla en sistemas que favorezcan la disminución de emisiones de con especial atención en lo que respecta a la producción de ACS considerando una dotación constante que mantenga las condiciones de confort que se obtiene con otras fuentes.

 

Figura 1. Zonas térmicas de la Tierra [3]

2. Materiales y métodos

 

La investigación desarrollada es de tipo cuasi experimental; ya que no hay un control efectivo de las variables de selección y para su desarrollo se integran un conjunto de actividades metódicas y técnicas que se realizan para recabar la información y datos necesarios sobre el tema a investigar y el problema a resolver [4].

Para el proyecto presentado se requiere un cálculo del porcentaje de por kg de combustible quemado en un período definido sin sistemas solares térmicos (grupo de control) y el cálculo del porcentaje de con aplicación de sistemas solares térmicos (grupo experimental). Para la investigación se han considerado 4 fases como se muestra en la Figura 2.

 

Figura 2. Esquema del diseño de la investigación

 

2.1. Análisis de la situación actual de consumo y demanda de ACS en el Cantón Cuenca y determinación de porcentaje de emitido al ambiente

 

En este punto se determina el consumo de agua por habitante a través de datos de fuente secundaria que en este caso se recopilan de la Empresa Pública Municipal

 

 

 

 

 

Calle y Tinoco. / Obtención de ACS con energía solar en el cantón Cuenca y análisis de la contaminación ambiental

91

 

de Telecomunicaciones, Agua Potable, Alcantarillado y Saneamiento Ambiental (ETAPA) y se completa el análisis con una encuesta en donde se identifica el consumo y demanda de ACS, además, con la misma se identifican los métodos que se utilizan para producir agua caliente: calentadores a gas, calentadores eléctricos, calentadores solares, otros. Finalmente, mediante un cálculo matemático se determinará el porcentaje de contaminación con por kg de combustible quemado para obtener ACS.

Para la aplicación de la encuesta se realiza la proyección de la población para el año 2016 empleando el método parabólico [5], basándose en la información de los censos de los años 1990, 2001 y 2010 [6] como se muestra en la Tabla 1.

 

Tabla 1. Proyección de número de habitantes del cantón Cuenca para el año 2016

 

 

La población en estudio está conformada por el número de hogares en el cantón Cuenca. Se estima que

 

un hogar promedio está integrado por 5 miembros, lo que resulta en un total de 114 553 hogares para todo el cantón divididos en 72 356 para la zona urbana y 42 197 en la zona rural.

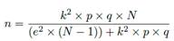
Para determinar la muestra se aplica la ecuación (1) considerando el nivel de confianza k = 95 %, límite de error e = 0,06, probabilidad de éxito p = 0,6 y probabilidad de fracaso q = 0,4.

 

(1)

 

La muestra significativa con la que se va a trabajar es de 531 hogares divididos en 266 en la zona urbana y 265 en la zona rural; en esta última se realiza una estratificación en función del número de pobladores de cada parroquia debido a las particularidades geográficas que presentan cada una; en la zona urbana no se estratifica pues las condiciones de todas las parroquias son similares.

Para el levantamiento de la información como instrumento se utiliza un cuestionario. Considerando el tránsito de la variable a sus dimensiones o componentes, luego a los indicadores y, finalmente, a los ítems o reactivos [4], el análisis establecido se muestra en la Tabla 2.

 

Tabla 2. Análisis de tránsito de variables para cuestionario

 

92

INGENIUS N.º 19, enero-junio de 2018

 

Para la recolección de datos se aplica el cuestionario de acuerdo con el análisis realizado en los párrafos anteriores;

un grupo de encuestadores visitaron los hogares y solicitaron se complete el mismo.

La cantidad de energía que se requiere para cubrir la demanda, considerando los valores promedio de consumo de ACS en ducha, lavamanos y en el fregadero de cocina determinados en la encuesta, se obtiene de la ecuación (2):

 

(2)

 

Donde:

DACS= Demanda de ACS (J)

VACS= Volumen de consumo de ACS (/mes)

ρa= Densidad del agua 1000 kg/m3

Cp= Calor específico del agua (4187 J/(kg·ºC))

Tuso= Temperatura de consumo (ºC)

Tred= Temperatura de la red (ºC)

 

Para calcular las emisiones de generadas al momento de obtener ACS, se multiplica la energía requerida para la obtención de ACS por un factor de emisiones que para GLP es de 0,234 y para electricidad 0,385 kg de eq/kWh [7].

 

2.2. Monitoreo, procesamiento y análisis de los datos de radiación solar para el cantón Cuenca

 

Para esta segunda fase del proyecto se trabaja en la selección y emplazamiento de las estaciones meteorológicas de acuerdo con las recomendaciones realizadas por la Organización Mundial de Meteorología (OMM). Se realiza un control de calidad de datos y los ajustes correspondientes para finalmente cuantificar la energía existente en cada uno de los sectores en donde se encuentran emplazadas las estaciones meteorológicas y que están asociados a las parroquias urbanas y rurales del cantón Cuenca.

 

2.2.1. Emplazamiento de estaciones meteorológicas

en el cantón Cuenca

 

En el año 2013 la Universidad Politécnica Salesiana, UPS, y el Instituto Nacional de Eficiencia Energética y Energías Renovables, INER instalaron una red de 16 estaciones meteorológicas repartidas en puntos estratégicos del cantón Cuenca con el propósito de medir variables meteorológicas y estos datos poderlos utilizar en proyectos para implantación de sistemas energéticos fundamentados en energías renovables [8].

Para la correcta definición geográfica de los sitios de emplazamiento de las estaciones se trabajaron en seis etapas las cuales se listan a continuación [9].

       Determinación de datos de posibles lugares paraemplazamiento.

         Visitas de campo.

         Selección de criterios.

         Análisis espacial.

         Valoración y elección de lugares de emplazamiento.

       Selección y emplazamiento de estaciones meteorológicas

        

2.2.2. Caracterización de la radiación solar en el cantón Cuenca durante los años 2014- 2015

 

Para este proceso se recopila la información de radiación global medida por la estación meteorológica y se realiza un control de calidad de los datos obtenidos, ya que, por condiciones de los sitios de emplazamiento o por circunstancias no controladas de los equipos pueden existir datos faltantes en fechas establecidas; a continuación, se procede a realizar la complementación correspondiente, se cuantifica la radiación existente y se calcula el aporte energético que la radiación ofrece en las diferentes zonas para cada mes en los años 2014 y 2015. La información faltante se completa utilizando el modelo matemático de Angström – Prescott modificada por Page, el cual permite estimar el recurso solar en una zona determinada [10]. El procedimiento consiste en hacer uso de varias ecuaciones correlacionadas entre sí, las cuales permiten calcular la radiación extraterrestre (He) según la ubicación geográfica del área de interés, para luego emplear la ecuación de Page y así obtener la radiación sobre una superficie horizontal (Ho). La correlación de Angström – Page para determinar la radiación solar global faltante sobre una superficie horizontal se muestra en la Tabla 3.

 

Tabla 3. Correlación de Angström – Page para determinar la radiación solar global [10]

 

 

 

 

 

 

Calle y Tinoco. / Obtención de ACS con energía solar en el cantón Cuenca y análisis de la contaminación ambiental

93

 

Para realizar los cálculos correspondientes, se toman los valores complementados diarios y las horas de sol establecidas, se suman los valores para encontrar el total diario y se suman los totales diarios de cada mes para obtener el total mensual, por último, se toman los totales mensuales y se obtiene el valor de energía incidente total anual.

 

2.3. Caracterización de colectores solares de tubos de vacío y tubos de calor

 

Para el caso en estudio se utilizan dos tipos de colectores solares que se instalan en dos viviendas del cantón Cuenca; el primero es un calentador de tubos de vacío y el otro es un calentador de tubos de vacío con tubo de calor, que son los que comercialmente se pueden conseguir en el Ecuador; para cada uno se realiza el análisis teórico correspondiente aplicando los principios de la termodinámica y la transferencia de calor. Con los colectores instalados se determinan las eficiencias reales y se compararan con los datos teóricos calculados, se establece la corrección correspondiente y se obtiene el modelo matemático específico para cada uno.

El calor útil (Qu) que vendría a ser igual al calor incidente (Qinc) que es el que proviene de la radiación solar menos el calor de pérdidas (Qper) que se dan en el proceso de transferencia de calor se calcula con la ecuación (3).

 

(3)

 

Para determinar la eficiencia η de los colectores solares se utiliza la ecuación (4):

 

(4)

 

2.3.1. Caracterización de calentador solar de tubos de vacío.

 

Para el cálculo del calor incidente en Watios se tiene la ecuación (5)

(5)

Donde:

Ip es la irradiación promedio en la ciudad de Cuenca. A es el área de captación de la radiación multiplicado por el número de tubos.

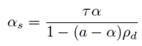
α es el factor de corrección de la radiación incidente que llega a los tubos de vacío y es determinado por la ecuación (6):

(6)

 

 

α es la absortividad de los tubos.

ρd es la reflectancia difusa de los tubos.

 

Para el cálculo del área de incidencia () se debe tomar en cuenta que la radiación solar cualquiera que sea la ubicación del sol solamente afectará la mitad de los tubos de vacío, por lo tanto, solo se tomará en cuenta la mitad de la periferia como se muestra en la ecuación (7):

 

(7)

El siguiente proceso es determinar las pérdidas por conducción, convección y radiación en todo el calentador como se muestra en la Figura 3.

 

Figura 3. Pérdidas de calor en un calentador solar de tubos de vacío [11].

 

El total de las pérdidas (TQper) (W) está dado por la sumatoria de las pérdidas obtenidas en los tubos de vacío (Qp-Tubos)y las pérdidas del tanque acumulador (Qp-Tanque), por lo tanto, la expresión para el cálculo de las pérdidas totales está dado por la ecuación (8):

 

(8)

En el caso de los tubos de vacío las pérdidas se generan únicamente por radiación [12], ya que esta es su ventaja frente a otros sistemas; para el cálculo de las pérdidas en los tubos se tiene la ecuación (9):

 

(9)

Donde:

Ulr es el coeficiente de pérdidas de calor por radiación

de los tubos.

A es el área de captación.

Tc es la temperatura de la cubierta.

Ta es la temperatura ambiente.

 

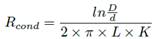
El cálculo de Ulr se lo realizará mediante la fórmula propuesta por Duffie & Beckman [13] en la cual relacionan las pérdidas por radiación de la superficie

 

 

 

94

INGENIUS N.º 19, enero-junio de 2018

 

 

del tubo receptor hacia el tubo de cubierta

y las pérdidas por radiación del tubo de cubierta hacia el ambiente como se muestra en la ecuación 10.

 

(10)

Donde:

Ar representa el área del tubo receptor.

Ac es el área de la cubierta o tubo exterior.

hw es el coeficiente de convección en función del viento

 

Para el cálculo del coeficiente de convección

se utilizará la ecuación (11):

 

(11)

 

Donde:

Nu es el número de Nusselt.

K es el coeficiente de conductividad térmica.

D es el diámetro del tubo.

 

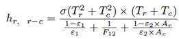
El coeficiente de transferencia de calor entre los dos tubos concéntricos, el tubo receptor y el tubo de la cubierta hr, r-c no se ve atenuado por el vacío existente entre estos, por lo tanto, su valor será calculado mediante la ecu ción (12):

 

 

(12)

 

Donde:

ε1 es la emisividad del tubo receptor.

ε2 es la emisividad del tubo de cubierta.

F12 es el factor de visión.

Tc es la temperatura de la cubierta.

Tr es la temperatura del receptor.

 

Para el cálculo de pérdidas en el tanque acumulador se realiza una analogía con redes de resistencias térmicas ya que el tanque está conformado por tres materiales como se muestra en la Figura 4.

Figura 4. Analogía de resistencias para el tanque acumulador multicapa [11].

 

Las pérdidas se producen en el tanque de almacenamiento por conducción, convección y radiación; (Qp-tanque)) y están dadas por la ecuación (13):

 

(13)

 

Para las pérdidas por conducción en la periferia del tanque se considera las ecuaciones (14) y (15):

 

(14)

(15)

 

Donde:

Ti es la temperatura en el interior del tanque.

Ta es la temperatura del ambiente.

RTotal es la sumatoria de las resistencias térmicas por conducción en cada una de las capas en el tanque acumulador.

 

Para el cálculo de cada una de las resistencias por conducción se aplica la ecuación (16):

 

(16)

 

Donde:

D es el diámetro mayor de la capa que se esté analizando.

d es el diámetro menor de la capa.

L es la longitud del cilindro.

K es el coeficiente de conductividad térmica de los

materiales.

 

 

 

 

 

Calle y Tinoco. / Obtención de ACS con energía solar en el cantón Cuenca y análisis de la contaminación ambiental

95

 

Para las pérdidas en las tapas del tanque se utiliza de igual manera una analogía con redes de resistencias térmicas ya que el tanque está formado por tres materiales como se muestra en la Figura 5.

 

Figura 5. Analogía de resistencias para la tapa del tanque acumulador multicapa [11].

 

El procedimiento de cálculo es el mismo que se explicó en los párrafos anteriores, pero se modifica la expresión de las resistencias por la ecuación (17) considerando que las superficies son planas.

 

(17)

Donde:

e es el espesor de las diferentes capas de aislamiento.

K es el coeficiente de conductividad térmica.

A es el área de conducción de la capa de aislamiento.

 

Realizando la suma de la resistencia total del cilindro y la de las tapas se obtiene la resistencia total que reemplazando en la ecuación (14) permite calcular las pérdidas totales de conducción en el tanque (Qpcond).

Para las pérdidas por convección en el tanque se utiliza la ecuación (18).

 

(18)

Donde:

h es el coeficiente de transferencia de calor por convección.

At es el área transversal del tanque de almacenamiento.

Tt es la temperatura en la superficie exterior del

tanque.

Ta es la temperatura ambiente.

 

Para calcular el coeficiente de transferencia de calor por convección se utiliza la ecuación (19):

(19)

Donde:

Nu es el número de Nusselt.

K es el coeficiente de conductividad térmica del aire.

D es el diámetro exterior del tanque de almacenamiento.

 

Para el cálculo de las pérdidas por radiación en el tanque se utiliza la ecuación (20):

 

(20)

 

Donde:

ε es la emisividad de la superficie del tanque.

σ es el coeficiente de Stefan Boltzman.

At es el área transversal del tanque de almacenamiento.

 

2.3.2. Caracterización de calentador solar de tubos de vacío con tubos de calor.

 

El proceso de cálculo de eficiencia y de pérdidas en el tanque es el mismo que para tubos de vacío; la diferencia para este tipo de calentador está en el sistema de tubos de vacío con tubos de calor en donde interviene un elemento adicional en el intercambio que modificará el valor de eficiencia en el sistema. Para este caso en particular el Ulr será ahora Ul que es el coeficiente de pérdidas de calor por radiación de los tubos. El cálculo de Ul para este tipo de calentador se lo realiza mediante la fórmula propuesta por Duffie & Beckman [13], en la cual relacionan las pérdidas por radiación de la superficie del tubo receptor hacia el tubo de cubierta (hr, r-c), las pérdidas por radiación del tubo de cubierta hacia el ambiente (hr, c-a) y, además, se consideran las pérdidas entre el tubo de calor hacia el tubo receptor (hr, tc-r) como se muestra en la ecuación (21):

 

(21)

 

El término que se incorpora considera las pérdidas entre el tubo de calor hacia el tubo receptor (hr, tc-r) y se calcula con la fórmula (22):

 

 

(22)

 

Donde:

ε 1 es la emisivadad del cobre.

ε 2 es la emisividad del tubo de vidrio.

A1 es el área del tubo de calor.

A2 es el área del tubo de vidrio.

σ es el coeficiente de Stefan Boltzman.

T es la temperatura del receptor.

 

 

 

96

INGENIUS N.º 19, enero-junio de 2018

 

2.3.3. Determinación práctica de la eficiencia del colector de tubos de vacío y del colector de tubos de vacío con tubos de calor.

 

Para los dos tipos de calentadores instalados se realiza el monitoreo de las siguientes variables:

         Temperatura ambiente [°C]

         Temperatura del agua en el tanque acumulador [°C]

         Temperatura de ingreso del agua de la red [°C]

         Volumen de agua [litros]

 

Con los valores medidos durante un año se calcula

la eficiencia del calentador utilizando la fórmula 23:

 

 

(23)

 

Donde:

m es el flujo másico de agua que circula por el calentador.

[kg/s]

Cp es el calor específico del agua [J/kg·K].

Ts es la temperatura de salida del agua [C].

Ti es la temperatura de ingreso del agua [C].

Qinc es la energía útil proveniente del sol [W/m2].

 

Finalmente, se comparan los datos medidos con los datos calculados y se realiza la corrección en el análisis teórico.

 

2.4. Factibilidad de implementación de sistemas solares para obtención de ACS y determinación de disminución de la contaminación ambiental.

 

En este punto se definirá la factibilidad de implementación de sistemas para obtención de ACS considerando la cantidad de energía solar medida durante los años 2014 y 2015 para las parroquias del cantón Cuenca.

Para el análisis se parte de los datos de radiación solar medidos y se calcula en función de la radiación la energía que los dos tipos de calentadores son capaces de aportar para obtener ACS, se compara con la demanda energética determinada en el trabajo de campo, se calcula el porcentaje de aporte que podrían generar estos sistemas y la disminución que se podría dar en emanaciones de con la implementación de los mismos.

Además, se determina la cantidad de energía que se debería generar con fuentes convencionales complementarias

para garantizar una constante dotación de agua caliente en las viviendas.

 

3. Resultados y discusión

 

En la primera etapa para determinar la muestra se aplica la ecuación (1).

Remplazando los valores se tiene que el tamaño de la muestra es de 531 hogares.

Aplicando la encuesta se obtiene que el 82 % de los hogares del cantón Cuenca utilizan ACS y el 18 % no la utilizan. (Figura 6)

 

Figura 6. ACS en hogares en el cantón Cuenca.

 

Quienes no utilizan ACS consideran que es una implementación costosa y la contaminación ambiental que se pueda generar fue considerada como un factor nada importante (Figura 7).

 

Figura 7. Motivos por los cuales un hogar cuencano no dispone de ACS.

 

En el cantón Cuenca el número de habitantes por hogar se encuentra comprendido entre 3 y 6, como se muestra en la Figura 8; la tendencia de la curva está hacia la derecha y se mantiene para la zona urbana y la rural, por lo que el valor considerado de cinco miembros por hogar es una alternativa válida para el análisis.

 

 

 

 

Calle y Tinoco. / Obtención de ACS con energía solar en el cantón Cuenca y análisis de la contaminación ambiental

97

 

Figura 8. Número de habitantes por vivienda en el cantón

Cuenca.

 

Con respecto a los sistemas utilizados para obtener agua caliente sanitaria, predomina el sistema de calefacción con GLP (Figura 9).

El ACS se utiliza fundamentalmente en ducha, lavamanos y fregadero de cocina, y la frecuencia de uso para los cinco miembros en lavamanos y fregadero de cocina está entre 30 a 45 min diarios y para la ducha está entre 30 y 60 minutos (Figura 10).

 

Figura 9. Sistemas utilizados para obtención de ACS.

Figura 10. Tipo de actividad con ACS y tiempo empleado

Los sistemas utilizados actualmente para obtener ACS son eficientes ya que la población los califica como buenos y muy buenos (Figura 11).

 

Figura 11. Calificación del sistema de ACS.

 

A la hora de seleccionar el sistema lo que más importancia tiene es el costo del sistema y lo que menos importante es la contaminación que este pueda generar (Figura 12).

 

Figura 12. Importancia de parámetros a la hora de escoger

un sistema para obtener ACS.

 

A partir de la pregunta 4 se determina el valor promedio de consumo de ACS, para esto se calcula los valores promedios de la sumatoria de los tiempos de uso para ducha, lavamanos y fregadero de cocina, en lo que corresponde a lavandería se desprecia ya que el porcentaje de usuarios en esta actividad es mínimo.

Con lo antes indicado se determina el consumo de ACS, multiplicando el tiempo total empleado por los miembros del hogar por un consumo promedio de 0,006 m3/min [14], y por un factor de coincidencia pues nos todos los miembros se bañan todos los días, o utilizan ACS en el lavamanos o en el fregadero de cocina, estos valores han sido identificados considerando las costumbres de uso de los habitantes del cantón Cuenca; los resultados obtenidos se pueden observar en la Tabla 4.

 

 

 

98

INGENIUS N.º 19, enero-junio de 2018

 

Tabla 4. Cálculo del consumo efectivo de ACS por hogar de 5 miembros en el cantón Cuenca

 

Para calcular la demanda de energía mensual utilizamos

la ecuación (2). El valor correspondiente a Tuso es 60 °C, mientras que para Tred es un promedio de 8 °C, este valor se asume ya que existe una variación entre 6 y 10 °C en las zonas urbana y rural; el valor de VACS es 0,25 m3/día, conocidos los valores de los parámetros se procede a remplazar en la expresión considerando los días de cada mes y se determina el valor mensual y anual de energía requerida para producir ACS; los valores calculados se muestran en la Tabla 5.

 

Con el valor calculado de la demanda de energía mensual y anual requerida para obtener ACS para una familia de 5 miembros se procede a calcular la producción de , multiplicando al valor obtenido por el índice de emisiones que para el GLP genérico es de 0,234 kg de eq/kWh [7] obteniéndose que se produce 2141,20 kg de eq. al año en una familia promedio de 5 miembros en el cantón Cuenca como se presenta en la Tabla 5.

 

Tabla 5. Demanda de energía mensual y anual para producir ACS en un hogar de 5 miembros en el cantón Cuenca y producción de

 

 

Considerando los datos anteriores y con 114 553 hogares formados por 5 miembros se produciría un aporte a la contaminación de 245 338 160 kg eq de o 245338 tn eq de .

Con respecto al monitoreo, procesamiento y análisis de radiación solar global, para este proceso se consideran los datos de radiación medidos por un grupo de 16 estaciones meteorológicas instaladas en el cantón Cuenca según la Tabla 6.

Se realiza la complementación de datos faltantes usando correlación de Angström – Page para los datos de las estaciones mostradas en la Tabla 7.

Se obtienen las tablas complementadas; como ejemplo se presenta para la estación de la parroquia rural de Chaucha la Tabla 8.

 

 

 

 

Tabla 6. Datos de estaciones meteorológicas

 

Calle y Tinoco. / Obtención de ACS con energía solar en el cantón Cuenca y análisis de la contaminación ambiental

99

 

Tabla 7. Estaciones meteorológicas con datos faltantes

 

Tabla 8. Datos faltantes de radiación complementados en

el mes de diciembre 2014 para la estación de Chaucha

 

Con los datos complementados se calcula la radiación global total diaria, mensual y anual para cada estación (Figura 12, ejemplo estación de Chaucha).

 

Figura 13. Radiación solar Global – Sector Chaucha

 

Con los promedios de todos los datos medidos en las 16 estaciones se obtiene la curva promedio de radiación solar global para el cantón Cuenca como se muestra en la Figura 14.

 

Figura 14. Radiación Global – cantón Cuenca 2014-2015

 

Los calentadores instalados tienen las siguientes características (Figura 15):

 

Figura 15. Características de calentadores solares instalados

 

Se calcula la eficiencia de los colectores solares tanto de manera teórica como práctica y se compara los valores llegando a determinar que el promedio de la diferencia porcentual para el calentador de tubos de vacío evacuados simple es del 5 % y el de tubos de vacío con tubos de calor es del 2 %; (Figura 16) con estos valores se corrige el análisis y se determina la eficiencia real en los colectores quedando para el de tubos de vacío es de 74 % y el de tubos de vacío con tubos de calor es de 80 %.

 

Figura 16. Eficiencia real y teórica de calentadores solares

 

 

100

INGENIUS N.º 19, enero-junio de 2018

 

la energía de pérdida y la energía útil que se empleará para la obtención de ACS y se comparan con la demanda de energía para establecer la cantidad faltante

que debe ser cubierta con sistemas auxiliares para cada tipo de calentador (Tablas 9, 10). Para el cálculo se considera 9 horas efectivas de sol diarias.

 

Tabla 9. Análisis energético para el calentador de tubos de vacío

 

 

Tabla 10. Análisis energético para el calentador de tubos de vacío con tubos de calor

 

 

Con los valores establecidos se determina que con el calentador solar de tubos de vacío existe una cobertura promedio con energía solar del 40,92 % y para el calentador de tubos de vacío con tubo de calor el 44,23 %, esto implica una reducción promedio en el primer caso de 100 397,17 tn eq y en el segundo caso de 108 537,24 tn eq considerando que al utilizar calentadores a base de GLP se generan 245 337,84 tn eq al año (Figura 17).

Los valores de cobertura y disminución de contaminación tendrán una ligera variación dependiendo de la zona en la que están ubicadas las mismas que están adscritas a las mediciones de las 16 estaciones meteorológicas instaladas [15].

 

Figura 17. Disminución de emisiones de en la obtención de ACS con calentadores híbridos con tecnología solar

respecto a calentadores a base de GLP

 

 

 

Calle y Tinoco. / Obtención de ACS con energía solar en el cantón Cuenca y análisis de la contaminación ambiental

101

 

4. Conclusiones

 

En el cantón Cuenca para obtener ACS sus habitantes utilizan fundamentalmente sistemas a base de GLP, provocando una contaminación aproximada de 245 337 tn CO2 eq.

La cantidad de agua caliente utilizada para las diferentes actividades que corresponde a 50 l por persona al día, es excesiva comparándola con los 30 l diarios que se utiliza en España [16, 17] de acuerdo con las ordenanzas impuestas en ese país.

La radiación promedio en el cantón Cuenca está entre 1359 kWh/m2 y 1968 kWh/m2 dependiendo de las condiciones geográficas de cada sector, utilizando calentadores solares de tubos de vacío se puede generar un aporte energético para obtener ACS que va desde el 40,92 % al 44,23 %.

Para garantizar una dotación constante de ACS los calentadores deben ser híbridos, es decir, deben trabajar con energía solar y tener un sistema auxiliar que puede ser a base de GLP o resistencia eléctrica.

Si se realiza la implementación de sistemas híbridos con tecnología solar se obtiene una disminución de contaminación de que está alrededor del 44 %, esto implica dejar de emanar al ambiente 108 537,24 tn eq al año.

 

Referencias

 

[1]      B. Veritas, Manual para la formación en medio ambiente, S. LEX NOVA, Ed., 2008, advances in Material & Processing Technologies Conference. [Online]. Available: https://goo.gl/vLX6Hy

[2]      Eurobserv’er. (2017) Solar thermal and concentrated solar power barometer 2017. [Online]. Available: https://goo.gl/2XFMc8

[3]      F. Entrena, Determinación del potecial solar UF0212, ic editorial, Ed., 2013. [Online]. Available: https://goo.gl/9PsoEw

[4]      R. Hernández Sampieri, C. Fernández Collado, and P. Baptista Lucio, Metodología de la Investigación, 5th ed., M. G. Hill, Ed., 2010. [Online]. Available: https://goo.gl/1zETzt

[5]      G. Ríos Jiménez. (2016) Métodos para calcular la población futura. [Online]. Available: https://goo.gl/WCH7wy

[6]      INEC. (2010) Resultados del censo 2010. [Online]. Available: https://goo.gl/1BC66V

[7]      G. de Aragón. (1967) Cálculo de emisiones. [Online]. Available: https://goo.gl/yPfTVh

[8]      UPS - INER. (2013) Métodos para el control de calidad y compementación de datos faltantes

en parámetros meteorológicos relacionados con la utilización de energías renovables. [Online]. Available: https://goo.gl/1JLb9m

 

[9]      I. Korkut, M. Kasap, I. Ciftci, and U. Seker, Cultivos energéticos alternativos, 2009, ch. Determinación de emplazamientos adecuados para estaciones meteorológicas en la provincia de Imbabura utilizando sistemas de información geográficos, pp. 75–87. [Online]. Available: https://goo.gl/a8b2ZB

 

[10]   J. Martínez Aguirre and J. Asitimbay Chávez, “Caracterización y análisis estadístico de la radiación solar directa para aplicaciones de media y alta temperatura en áreas circundantes al ocp,” Master’s thesis, Universidad de las Fuerzas Armadas, 2015. [Online]. Available: https://goo.gl/X4RgVK

 

[11]   J. Jiménez Patiño, H. Llivichuzca Chacha, and J. Calle Sigüencia, “Diseño, implementación y monitoreo de calentadores híbridos con energía solar-glp y energía solar-calentadores eléctricos para la obtención de agua caliente sanitaria.” Tesis de grado, Universidad Politécnica Salesiana, Ecuador, 2014. [Online]. Available: https://goo.gl/4kV4w8

 

[12]   Sitiosolar. (2014) Los colectores solares de tubo de vacío. Hybrid evolutionary systems for manufacturing processes. [Online]. Available: https://goo.gl/EnpH8n

 

[13]   J. A. Duffie and W. A. Beckman, Solar Engineering of Thermal Processes, I. John Wiley & Sons, Ed., 2013. [Online]. Available: https://goo.gl/rjjMtJ

 

[14]   Afta-asociation. Dimensionado de instalaciones. [Online]. Available: https://goo.gl/pnQpzi

 

[15]   O. Delgado, “Plan de ordenamiento y desarrollo territorial del cantón Cuenca,” in Memorias del II Congreso Binacional de Investigación, Ciencia y Tecnología de las Universidades, 2013, pp. 721–729. [Online]. Available: https://goo.gl/S3WixM

 

[16]   D. Fuentes Cantero, “Instalación de colectores solares para suministro de acs en valencia.” Proyecto de Fin de Carrera, Universidad Carlos III de Madrid, España, 2009. [Online]. Available: https://goo.gl/UTh93M

 

[17]   ATECYR - IDAE, Guía técnica Agua Caliente Sanitaria Central, Instituto para la Diversificación y Ahorro de la Energía Std., 20