Artículo Científico / Scientific Paper

 

https://doi.org/10.17163/ings.n19.2018.08

 

pISSN: 1390-650X / eISSN: 1390-860X

 

Comparación entre redes neuronales

artificiales y regresión múltiple para

la predicción de la rugosidad

superficial en el torneado en seco

 

Comparison Between Artificial Neural

Network And Multiple Regression For

The Prediction Of Superficial

Roughness In Dry Turning

 

Yoandrys Morales-Tamayo1,*, Yusimit Zamora-Hernández2, Paco Vásquez-Carrera1,

Mario Porras-Vásconez1, Joao Bárzaga-Quesada3, Ringo López-Bustamante4

 

Resumen

Abstract

 

Los métodos de regresión múltiple y redes neuronales artificiales son técnicas usadas en muchas aplicaciones de la industria. En este trabajo se utilizaron dos métodos de predicción: regresión múltiple y redes neuronales artificiales (perceptrón multicapa) con el objetivo de predecir la rugosidad superficial en el torneado en seco del acero AISI 316l. En su implementación fueron considerados varios parámetros de corte como la velocidad, el avance y el tiempo de mecanizado. Las ecuaciones obtenidas por ambos métodos fueron comparadas desarrollando un diseño factorial completo para aumentar la fiabilidad de los valores registrados de rugosidad superficial. En el análisis se puede comprobar mediante los valores de coeficientes de determinación que los modelos propuestos son capaces de predecir la rugosidad superficial. Los modelos obtenidos demuestran que la

técnica de redes neuronales artificiales tiene mejor precisión que la regresión múltiple para este estudio.

 

 

The simple regression and artificial neural network methods are techniques used in many industrial. This work developed two models in order to predict the surface roughness in dry turning of AISI 316L stainless steel. In its implementation they were considered various cutting parameters such as cutting speed, feed, and machining time. The models obtained by both methods were compared to develop a full factorial design to increase reliability of the recorded values of roughness. The analysis can be checked by the values of coefficients of determination that the proposed models are able to predict surface roughness. The obtained results show that the neural networks techniques is more accurate than the multiple regression techniques in this study.

Palabras Clave: acero inoxidable AISI 316L, análisis de varianza y regresión, redes neuronales artificiales, rugosidad superficial, torneado de alta velocidad.

Keywords: AISI 316L stainless steel, Analysis of variance and regression, Artificial neural network, Dry high-speed turning, Surface roughness.

 

1,* Dirección en Electromecánica, Universidad Técnica de Cotopaxi, Cotopaxi – Ecuador. Autor para correspondencia : yoandrys.morales@utc.edu.ec, http://orcid.org/0000-0001-7456-1490, http://orcid.org/0000-0003-4734-8584, http://orcid.org/0000-0002-4119-4812

2 Departamento de Ingeniería Mecánica, Universidad de Granma, Cuba. http://orcid.org/0000-0002-0112-1061

3 Departamento de Ciencias de la Energía y Mecánica, Universidad de las Fuerzas Armadas, Cotopaxi – Ecuador. http://orcid.org/0000-0001-9792-7379

4 Dirección de Extensión La Maná, Universidad Técnica de Cotopaxi, Ecuador. http://orcid.org/0000-0002-6519-1587

 

Recibido: 30-11-2017, aprobado tras revisión: 18-12-2017

Forma sugerida de citación: Morales, Y.; Zamora, Y.; Vásquez, P.; Porras, M.; Bárzaga, J.; López, R. (2018). «Comparación entre redes neuronales artificiales y regresión múltiple para la predicción de la rugosidad superficial en el torneado en seco». Ingenius. N.º19, (enero-junio). pp. 79-88. doi: https://doi.org/10.17163/ings.n19.2018.08.

 

79

 

 

80

INGENIUS N.º 19, enero-junio de 2018

 

1. Introducción

El acero inoxidable es uno de los materiales metálicos más utilizados en el sector industrial, esto se debe a la favorable combinación de las propiedades mecánicas, resistencia a la corrosión y costo. Este material ha sido ampliamente usado en el campo aeroespacial y militar, donde existe una demanda creciente en los requisitos de calidad superficial [1].

Las características de la superficie mecanizada afectan directamente la resistencia a la fatiga, la resistencia a la corrosión y las propiedades tribológicas de los componentes mecanizados. Obtener un valor elevado de calidad superficial aumenta la vida a la fatiga del producto. En consecuencia, el control de la superficie mecanizada es esencial para asegurar un correcto proceso de corte. El aspecto más importante en los procesos de manufactura es la medición y la caracterización de las propiedades superficiales. En el proceso de torneado, la rugosidad superficial es un parámetro que tiene gran influencia en el comportamiento y la funcionalidad de los componentes mecánicos y en los costos de producción [2].

La rugosidad superficial es afectada por varios factores, tales como: el avance, las propiedades del material de trabajo, la velocidad de corte, la profundidad, el radio de la punta, las condiciones de la máquina, los fluidos de corte, los materiales de las herramientas de corte y los ángulos de la herramienta de corte, entre otros. Dentro de ellos, son fáciles de ajustar los parámetros de corte con el objetivo de lograr el rendimiento esperado [3].

Los aceros inoxidables austeníticos son considerados materiales difíciles de mecanizar, característica relacionada con su baja conductividad térmica, alto coeficiente de expansión térmica, alta ductilidad y alto endurecimiento por deformación. Las operaciones de acabado efectuadas en estos aceros son comúnmente ejecutadas con insertos de carburos recubiertos. El rango de las velocidades recomendadas para el torneado de estos aceros son muy conservadoras

(200-350 m/min) [4].

La utilización de bajas velocidades de corte, conduce a una baja eficiencia en la producción y consecuentemente altos costos de producción [5]. Al ser este rango improductivo en las condiciones actuales de la tecnología, es necesario determinar el comportamiento de la rugosidad superficial durante el proceso de mecanizado de alta velocidad (HSM).

La rugosidad superficial generada en los procesos de mecanizado ha sido estudiada desde [6] por Sata y en [7] por Dickinson. El efecto del avance de la herramienta, del radio de la punta y del ángulo del filo sobre la rugosidad superficial generada en el torneado fue descrita por Groover y nombrada «rugosidad ideal», enunciada como la mínima rugosidad que se genera en una pieza torneada [8].

La rugosidad superficial es uno de los parámetros de calidad más estudiado por los investigadores que analizan la maquinabilidad de los aceros austeníticos. Por ejemplo, Korkut y colaboradores realizaron un estudio de la rugosidad superficial y el desgaste del flanco para determinar la velocidad de corte optima con el uso de insertos de carburos recubiertos. Los mayores valores de rugosidad superficial durante el torneado se alcanzaron a bajas velocidades (< 180m/min) atribuido a la presencia del crecimiento del filo de corte [9]. Similar resultado fue alcanzado por Ciftci durante su estudio experimental para analizar la influencia de la velocidad de corte (entre 120 m/min y 210 m/min) sobre la rugosidad superficial y las fuerzas de corte [9].

Cuatro años más tarde, Galanis y Manolakos desarrollaron un modelo matemático empírico para predecir la rugosidad superficial con la aplicación de una metodología de superficie de respuesta. Esta investigación fue desarrollada durante el mecanizado de cabezas femorales con una herramienta recubierta de (TiN/Al2O3/TiC) [10].

En el 2012, Çaydas y Ekici implementaron una red neuronal artificial para predecir la rugosidad superficial. La validación de este modelo fue desarrollada mediante un estudio experimental que consideró los parámetros de corte involucrados en el torneado en seco del acero inoxidable AISI 304 [11].

Ese mismo año, Ahilan y otros realizaron una investigación con el propósito de desarrollar un modelo basado en redes neuronales artificiales para predecir las condiciones de corte en tornos CNC. Ellos utilizaron el diseño de experimentos (método Taguchi) para entrenar y validar el modelo neuronal propuesto [12]. En este caso la velocidad de corte máxima utilizada fue 150 m/min.

Selvaraj y otros, desarrollaron una investigación para optimizar los parámetros de corte con el objetivo de minimizar la rugosidad superficial, la fuerza de corte y el desgaste de la herramienta. Los experimentos son analizados usando el método Taguchi, la operación de torneado fue ejecutada en seco y a una velocidad de corte máxima de 120 m/min [13].

En la Figura 1 se puede observar un resumen de las velocidades de corte utilizadas en los principales estudios desarrollados durante el torneado de los aceros austeníticos. Estas investigaciones incluyen no solo el estudio de la rugosidad superficial, sino también investigaciones de desgaste de las herramientas de corte, integridad superficial, fuerzas de corte, potencia de corte y formación de la viruta.

La literatura revela (Figura 1) que existen pocos estudios relacionados con el torneado en seco de los aceros inoxidables austeníticos a velocidades de corte superiores a los 400 m/min. Solo cuatro autores sobrepasaron esta velocidad de corte.

Lin evalúa el comportamiento del desgaste de la herramienta (desgaste del flanco) [14], Fernández-Abia y

 

 

Morales et al. / Comparación entre redes neuronales artificiales y regresión múltiple para la predicción de la rugosidad superficial en el torneado en seco

 

81

 

colaboradores no realizaron el mecanizado en seco [15], Maranhão y Darvim estudiaron la influencia del coeficiente de fricción de la interface herramienta-viruta [16] y por último, Galanis y Manolakos estudiaron el efecto de las condiciones de corte en la rugosidad superficial durante el mecanizado de cabezas femorales de acero inoxidable AISI 316L, para este estudio la longitud de corte fue de 28 mm [17]. El objetivo de este trabajo es comparar dos métodos para predecir la rugosidad superficial en el acero inoxidable AISI 316L con velocidades de 400 m/min y 450 m/min, uno basado en regresión múltiple y otro en las redes neuronales artificiales del tipo perceptrón multicapa.

Para este propósito fue preciso implementar un diseño factorial completo para investigar el efecto de las condiciones de corte (velocidad, avance, tiempo) en la rugosidad superficial. Los modelos de regresión múltiple son validados mediante los supuestos básicos.

Una arquitectura de perceptrón multicapa con algoritmo back-propagation es usado para desarrollar la red neuronal y el criterio para la actualización de los pesos es gradiente descendente. La efectividad de ambos modelos se determina comparando los coeficientes de determinaciones y el error medio absoluto.

 

Figura 1. Principales investigaciones en el torneado de los aceros inoxidables austeníticos

 

2. Materiales y métodos

 

2.1. Modelos de rugosidad superficial

 

En el torneado existen muchos factores que afectan la rugosidad superficial como son la herramienta de corte, el material de trabajo y los parámetros de corte. Los factores relacionados con las herramientas son el material, el radio de la punta, el ángulo de ataque, la geometría de la arista de corte, la vibración de la herramienta, etc., mientras que entre las variables relacionadas con el material de la pieza de trabajo se tiene la dureza, las propiedades físicas y mecánicas,

entre otras. Por otro lado, las condiciones de corte que influyen son la velocidad de corte, el avance y la profundidad [18].

La selección adecuada de los parámetros de corte y de la geometría de la herramienta resulta compleja y difícil para lograr la calidad superficial requerida [19]. Por tanto, está claro que la selección y obtención de un modelo que describa este proceso es esencial para el mecanizado de los aceros [20].

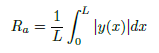
La rugosidad superficial (Ra) es generalmente definida basada en la Norma ISO 4287 como la media aritmética de la desviación del perfil de la rugosidad

 

 

 

82

INGENIUS N.º 19, enero-junio de 2018

 

desde la línea central a lo largo de la medición. Esta definición es dada en la ecuación (1).

 

 

(1)

 

Donde: L es la longitud de medición; y es la distancia entre dos puntos del perfil. La relación entre la rugosidad superficial y las variables de mecanizado puede ser definida como (ecuación 2):

 

(2)

 

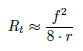
Donde, Ra es la rugosidad superficial medida en μm; V, f, d, r son velocidad de corte (m/min), avance (mm/rev), profundidad (mm), radio de la punta de la herramienta (mm), respectivamente. C, m, n, l son constantes y " es el error aleatorio [21]. La ecuación (1) puede ser vista como la ecuación (3) para facilitar la representación de las constantes y los parámetros. La rugosidad media aritmética (Ra) y la altura del pico máximo (Rt) de las superficies torneadas pueden ser determinadas por las ecuaciones siguientes (3) y (4):

 

 

(3)

 

(4)

 

Donde r, es el radio de la punta (mm) y f, es el avance de corte (mm/rev). Las ecuaciones (3) y (4) muestran que la rugosidad superficial incrementa proporcionalmente con el avance y, además, el aumento del radio de la punta de la herramienta de corte reduce la rugosidad superficial en el torneado.

 

2.2. Modelación por regresión múltiple

 

Las redes neuronales artificiales (RNA) son ampliamente usadas en muchas aplicaciones de la industria. Estas son muy populares en la modelación de sistemas debido a su alta eficiencia en la adaptación y en el aprendizaje mediante el reconocimiento de patrones [3].

La red instalada en esta investigación es una red perceptrónica multicapa la cual corresponde en equivalencia a la regresión no lineal múltiple [24]. La red perceptrónica multicapa está compuesta por la asociación de neuronas artificiales organizadas dentro de la red formando niveles o capas.

En este caso corresponde una capa de entrada en la que se introducen los patrones en la red (parámetros de corte), una capa oculta con algunas neuronas y una capa de salida con la variable respuesta (rugosidad superficial). La estructura de la RNA que se muestra en Figura 2 fue utilizada para modelar y predecir la variable dependiente.

La determinación del número óptimo de neuronas de la capa oculta se realizó mediante un proceso de ensayo y error en el que se probaron diferentes variantes. En todo caso, el objetivo fue dotar a la red de un número adecuado de neuronas en la capa oculta para garantizar la capacidad de aprendizaje de las características de las posibles relaciones existentes entre los datos de la muestra.

 

Figura 2. Estructura de la red perceptrónica multicapa

 

2.4. Ensayos experimentales

 

El torneado experimental fue ejecutado en condiciones secas, con el uso del torno multifuncional tipo Okuma Multus B200-W con potencia del motor de 15 kW y rotación del husillo entre 50 rpm y 5000 rpm (Figura 3).

 

Figura 3. Torno multifuncional CNC marca Okuma modelo Multus B-200W

 

 

Morales et al. / Comparación entre redes neuronales artificiales y regresión múltiple para la predicción de la rugosidad superficial en el torneado en seco

 

83

 

El acero inoxidable AISI 316L fue el material seleccionado para las probetas, este acero es utilizado en la fabricación de productos resistentes a la corrosión y resistentes a altas temperaturas [25]. La composición química es C 0,015 %, Si 0,58 %, Mn 1,50 %, Cr 16,95 %, Mo 2,05 %, Ni 10,08 %, P 0,031 %, S 0,029 % y N 0,059 %.

Las probetas de 100 mm de diámetro y 200 mm de longitud fueron torneadas con insertos recubiertos con calidad Sandvik, GC1115 y GC2015. Los recubrimientos de (TiCN–Al2O3–TiN) con un espesor de 15 μm correspondieron al inserto GC2015 y para el inserto tipo GC1115 su recubrimiento fue de TiN con 5 μm de espesor. Después de la operación de torneado, la rugosidad superficial (Ra) fue medida mediante un rugosímetro CARL ZEISS modelo SURFCOM 1500SD2 (Figura 4).

La geometría de los insertos fue CCMT 12 04 04-MF con rompevirutas, el portaherramienta marca Sandvik de código C6-SCLCL-45065-12 y un adaptador con código C6-391.01-63 060. El ángulo de incidencia principal fue de 7, el ángulo de ataque de 0 y el radio de la punta de 0,4 mm.

Figura 4. Rugosímetro CARL ZEISS modelo SURFCOM

1500SD2.

 

El análisis factorial completo fue el procedimiento utilizado para determinar la relación entre las variables independientes (parámetros de corte) y la variable dependiente (rugosidad superficial (Ra)). Un total de 64 ensayos para dos réplicas fueron desarrollados con dos niveles de velocidades de corte (v), cuatro niveles de tiempo (T), dos niveles de avances de corte (f ) y dos niveles de material de la herramienta, en la Tabla 1 aparecen las variables estudiadas.

 

 

Tabla 1. Factores y niveles utilizados en el desarrollo del experimento

 

3. Resultados y discusión

 

La rugosidad superficial es ampliamente utilizada como parámetro para indicar la calidad de un producto y en la mayoría de los casos, un requisito técnico importante en el diseño mecánico.

En consecuencia, lograr la calidad de la superficie deseada es de mucha importancia para el comportamiento funcional de un producto [26]. También tiene un impacto en las propiedades mecánicas, específicamente en la resistencia a la fatiga y en la resistencia a la corrosión [19].

Las industrias manufactureras son las encargadas de garantizar al consumidor las demandas crecientes en la calidad superficial y a su vez en obtener productos menos costosos. Por tanto, conocer el efecto de estos parámetros es importante para evaluar la efectividad y productividad del proceso de corte [27].

En esta sección serán comparados y discutidos los

resultados obtenidos mediante regresión múltiple y por

redes neuronales artificiales.

 

3.1. Análisis mediante regresión múltiple

 

Los modelos obtenidos como resultado del análisis de regresión múltiple con la velocidad de 400 m/min se muestran en las ecuaciones (5) y (6) para los insertos GC1115 y GC2015 respectivamente. Los modelos con la velocidad de 450 m/min se muestran en las ecuaciones (7) y (8) para los insertos GC1115 y GC2015 respectivamente.

 

(5)

(6)

(7)

(8)

 

 

84

INGENIUS N.º 19, enero-junio de 2018

 

El coeficiente de determinación (R2) representa la correcta medida de la bondad del ajuste en la línea de regresión determinada por el modelo. Para estos casos los R2 fueron en la velocidad de 400 m/min, 0,92 (GC1115) y 0,80 (GC2015) y para 450 m/min fueron 0,97 (GC1115) y 0,97 (GC2015).

En todos los casos, con el objetivo de validar los resultados de regresión obtenidos se comprobó el cumplimiento de los supuestos básicos de regresión como: la homocedasticidad (Test White), la no autocorrelación de los residuos (Test Breusch-Godfrey), la normalidad ((Test Jarque-Bera) y media nula.

En las Figuras 5 y 6 se muestran las comparaciones entre los valores medidos de manera experimental y los valores estimados de la rugosidad superficial por los modelos correspondientes a las velocidades de 400 m/min y 450 m/min, respectivamente. En estas Figuras se puede observar una fuerte relación entre las variables estimadas y la variable respuesta.

 

Figura 5. Valores medidos y estimados por regresión múltiple para v = 400 m/min, a) inserto GC1115 y b) inserto GC2015

 

Figura 6. Valores medidos y estimados por regresión múltiple para v = 450 m/min, a) inserto GC1115 y b) inserto GC2015

 

3.2. Resultados de las redes neuronales artificiales

 

La estructura de la red aplicada para modelar y predecir la rugosidad superficial en la operación de torneado corresponde al perceptrón multicapa del tipo feedforward Backpropagations. Los datos experimentales fueron utilizados para construir el modelo de las redes neuronales artificiales.

El entrenamiento fue desarrollado a través del algoritmo Levenberg Marquardt. Los mejores resultados fueron obtenidos con la estructura 3-5-1, tres neuronas en la capa de entrada, 5 neuronas en la capa oculta y una en la capa de salida. El software de redes neuronales fue codificado utilizando el Neural Networks Toolbox de Matlab. Los parámetros de la estructura de la red propuesta son mostrados en la Tabla 2.

Los datos de entrada fueron divididos por las velocidades, por tanto, solo se consideraron el tiempo de maquinado, el avance de corte y el tipo de herramienta

 

 

 

Morales et al. / Comparación entre redes neuronales artificiales y regresión múltiple para la predicción de la rugosidad superficial en el torneado en seco

 

85

 

de corte. Estos datos fueron distribuidos aleatoriamente de la siguiente forma, para el entrenamiento fueron seleccionados el 70 % (22 datos), 15 % (5 datos) para la etapa de prueba y para la validación el restante 15 % (5 datos).

 

Tabla 2. Parámetros de la red neuronal artificial implementada en el estudio.

 

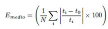
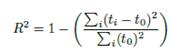
(9)

(10)

 

Donde N, es el número de ensayos; ti, valores experimentales y t0, valores estimados.

En las Figuras 7 y 8 se puede observar una comparación

entre los valores experimentales y los valores estimados de la rugosidad superficial por el modelo desarrollado mediante redes neuronales artificiales.

Los resultados de las redes neuronales demuestran que los modelos propuestos en este estudio son adecuados para la predicción de la rugosidad superficial.

Los valores de los coeficientes de determinación y de los errores medios absolutos están en los rangos aceptables (Tabla 3).

 

Tabla 3. Valores de coeficientes de determinación (R2) y errores medios absolutos para cada red neuronal desarrollada.

 

 

 

Figura 7. Valores medidos y estimados por redes neuronales artificiales para v = 400 m/min, a) inserto GC1115 y b) inserto GC2015

 

3.3. Evaluación general

 

Un diseño de experimento factorial completo fue aplicado para determinar los efectos de las variables independientes

(velocidad, avance, tiempo y herramientas de corte) del proceso de torneado en seco en la rugosidad superficial. Después de cada ensayo de torneado, los valores de rugosidad superficial fueron registrados para su posterior análisis. En esta investigación fueron desarrollados modelos mediante redes neuronales artificiales y por regresión múltiple. La Tabla 4 muestra una comparación de los resultados según la precisión de los valores obtenidos mediante regresión múltiple y por redes neuronales artificiales. Los resultados se encuentran cercanos a los medidos de manera experimental para todos los modelos. Por tanto, los modelos propuestos pueden ser utilizados para predecir la rugosidad superficial en el torneado en seco del acero AISI 316L. Sin embargo, como se puede observar en la misma tabla, los modelos obtenidos por redes neuronales artificiales producen mejores resultados comparados con los modelos por regresión múltiple.

 

 

 

86

INGENIUS N.º 19, enero-junio de 2018

 

Figura 8. Valores medidos y estimados por redes neuronales artificiales para v = 450 m/min, a) inserto GC1115 y b) inserto GC2015

 

Tabla 4. Comparación de métodos propuestos.

 

 

4. Conclusiones

 

En esta investigación se ha realizado un estudio para predecir la rugosidad superficial en el torneado en seco del acero AISI 316L. La influencia de variables como la velocidad, el avance y el tiempo de mecanizado fueron analizadas a través de un diseño factorial completo. Los modelos para predecir la rugosidad superficial fueron

 

 

 

 

desarrollados a partir de los datos experimentales. De acuerdo con los resultados obtenidos en este trabajo se plantean las siguientes conclusiones.

 

     Los modelos desarrollados fueron evaluados por sus capacidades de predicción con los valores medidos experimentalmente.

     Los modelos propuestos pueden ser utilizados para predecir la rugosidad superficial en el torneado en seco del acero AISI 316L.

     El coeficiente de determinación mínimo alcanzado por los modelos fue de 80 % y el máximo de 99 %, indicando la proporción de la variabilidad de los datos explicada por los modelos de regresión, en el caso del error medio absoluto el mínimo fue de 2,869 % y el máximo de 22,78.

     Los menores errores medios absolutos fueron obtenidos con los modelos implementados con redes neuronales artificiales.

     En investigaciones futuras se podrían desarrollar modelos basados en las redes neuronales y en la regresión múltiple que permitan un estudio de la economía del proceso de torneado en seco.

 

Agradecimientos

 

Los autores agradecen a la Secretaría de Educación Pública por proporcionar la beca de investigación en la Universidad Autónoma de Nuevo León (UANL) en México. También al Centro de Investigación e Innovación en Ingeniería Aeronáutica (CIIIA) por el apoyo financiero y tecnológico, además, por todas las facilidades brindadas para el desarrollo del trabajo de investigación.

 

Referencias

 

[1]      D. Vasumathy, A. Meena, and M. Duraiselvam, “Experimental study on evaluating the effect of micro textured tools in turning aisi 316 austenitic stainless steel,” Procedia Engineering, vol. 184, no. Supplement C, pp. 50–57, 2017, advances in Material & Processing Technologies Conference. [Online]. Available: https://doi.org/10.1016/j.proeng.2017.04.070

[2]      F. Mata-Cabrera, I. Hanafi, A. Khamlichi, A. Jabbouri, and M. Bezzazi., “Predicción de rugosidad en maquinado de compuestos con base de peek usando metodologá de superficie de respuesta,” Ingeniería, Investigación y Tecnología, vol. 14, no. 4, pp. 463–474, 2013. [Online]. Available: https://doi.org/10.1016/S1405-7743(13)72258-3

 

Morales et al. / Comparación entre redes neuronales artificiales y regresión múltiple para la predicción de la rugosidad superficial en el torneado en seco

 

87

 

[3]      M. Mia and N. R. Dhar, “Prediction of surface roughness in hard turning under high pressure coolant using artificial neural network,” Measurement, vol. 92, Supplement C, pp. 464–474, 2016. [Online]. Available: https: //doi.org/10.1016/j.measurement.2016.06.048

[4]      A. Fernández-Abia, J. Barreiro, L. N. López de Lacalle, and S. Martínez, “Effect of very high cutting speeds on shearing, cutting forces and roughness in dry turning of austenitic stainless steels,” The International Journal of Advanced Manufacturing Technology, vol. 57, no. 1–4, pp. 61–71, 2011. [Online]. Available: https://doi.org/10.1007/s00170-011-3267-9

[5]      J. Zhou, V. Bushlya, and J. Stahl, “An investigation of surface damage in the high speed turning of inconel 718 with use of whisker reinforced ceramic tools,” Journal of Materials Processing Technology, vol. 212, no. 2, pp. 372–384, 2012. [Online]. Available: https: //doi.org/10.1016/j.jmatprotec.2011.09.022

[6]      T. Sata, Surface finish in metal cutting, 1964, vol. 12, pp. 190–197.

[7]      G. R. Dickinson, “Paper 26: Survey of factors affecting surface finish,” Proceedings of the Institution of Mechanical Engineers, Conference Proceedings, vol. 182, no. 11, pp. 135–147, 1967. [Online]. Available: https://doi.org/10. 1243/PIME_CONF_1967_182_311_02

[8]      M. P. Groover, Fundamentos de manufactura moderna: materiales, procesos y sistemas,. McGraw- Hill Interamericana de España S. L., 2007, no. 4. [Online]. Available: https://goo.gl/aJx7SQ

[9]      Korkut, M. Kasap, I. Ciftci, and U. Seker, “Determination of optimum cutting parameters during machining of AISI 304 austenitic stainless steel,” Materials & Design, vol. 25, no. 4, pp. 303–305, 2004. [Online]. Available: https://doi.org/10.1016/j.matdes.2003.10.011

[10]  Y. Morales Tamayo, Y. Zamora Hernández, P. Zambrano Robledo, R. Beltrán Reyna, and J. Pino Tarrago, “Investigação da influência dos parâmetros de corte na rugosidade superficial usando regressão múltipla,” Revista Iberoamericana de Ingeniería Mecánica., vol. 20, no. 2, pp. 25–33, 2016. [Online]. Available: https://goo.gl/33SqTx

[11]  U. Çaydas and S. Ekici, “Support vector machines models for surface roughness prediction in cnc turning of aisi 304 austenitic stainless steel,” Journal of Intelligent Manufacturing, vol. 23, pp. 639–650, 2012. [Online]. Available: https://doi.org/10.1007/s10845-010-0415-2

[12]  C. Ahilan, S. Kumanan, N. Sivakumaran, and J. E. R. Dhas, “Modeling and prediction of machining quality in cnc turning process using intelligent hybrid decision making tools,” Applied Soft Computing, vol. 13, no. 3, pp. 1543–1551, 2013, hybrid evolutionary systems for manufacturing processes. [Online]. Available: https://doi.org/10.1016/j.asoc.2012.03.071

[13]  D. P. Selvaraj, P. Chandramohan, and M. Mohanraj, “Optimization of surface roughness, cutting force and tool wear of nitrogen alloyed duplex stainless steel in a dry turning process using taguchi method,” Measurement, vol. 49, Supplement C, pp. 205–215, 2014. [Online]. Available: https: //doi.org/10.1016/j.measurement.2013.11.037

[14]  W. S. Lin, “The study of high speed fine turning of austenitic stainless steel,” Journal of Achievements in Materials and Manufacturing Engineering, vol. 27, no. 2, pp. 191–194, 2008. [Online]. Available: https://goo.gl/UWA5LL

[15]  A. I. Hernández-Abia, J. Barreiro, L. N. López de Lacalle, and S. Martínez Pellitero, “Behavior of austenitic stainless steels at high speed turning using specific force coefficients,” The International Journal of Advanced Manufacturing Technology, vol. 62, no. 5–8, pp. 505–515, 2012. [Online]. Available: https://doi.org/10.1007/s00170-011-3846-9

[16]  C. M. ao and J. P. Davim, “Finite element modelling of machining of aisi 316 steel: Numerical simulation and experimental validation,” Simulation Modelling Practice and Theory, vol. 18, no. 2, pp. 139–56, 2010. [Online]. Available: https://doi.org/10.1016/j.simpat.2009.10.001

[17]  N. I. Galanis and D. E. Manolakos, “Surface roughness prediction in turning of femoral head,” The International Journal of Advanced Manufacturing Technology, vol. 51, no. 1-4, pp. 79–86, 2010. [Online]. Available: https://doi.org/10.1007/s00170-010-2616-4

[18]  K. S. Sangwan, S. Saxena, and G. Kant, “Optimization of machining parameters to minimize surface roughness using integrated ann-ga approach,” Procedia CIRP, vol. 29, Supplement C, pp. 305–310, 2015, the 22nd CIRP Conference on Life Cycle Engineering. [Online]. Available: https://doi.org/10.1016/j.procir.2015.02.002

[19]  E. Kilickap, M. Huseyinoglu, and A. Yardimeden, “Optimization of drilling parameters on surface roughness in drilling of aisi 1045 using response surface methodology and genetic algorithm,” The International Journal of

 

 

 

 

 

88

INGENIUS N.º 19, enero-junio de 2018

 

Advanced Manufacturing Technology, vol. 52, no. 1–4, pp. 79–88, 2011. [Online]. Available: https://doi.org/10.1007/s00170-010-2710-7

[20]  R. E. Harber, J. E. Jiménez, A. Jiménez, and J. López-Coronado, “Modelo matemático para la predicción del esfuerzo de corte en el mecanizado a alta velocidad,” Revista de Metalurgia, vol. 40, no. 4, pp. 247–258, 2004. [Online]. Available: http: //dx.doi.org/10.3989/revmetalm.2004.v40.i4.272

[21]  Asilturk and M. Çunkas, “Modeling and prediction of surface roughness in turning operations using artificial neural network and multiple regression method,” Expert Systems with Applications, vol. 38, no. 5, pp. 5826–5832, 2011. [Online]. Available: https://doi.org/10.1016/j.eswa.2010.11.041

[22]  K. V. B. S. Kalyan Kumar and S. K. Choudhury, “Investigation of tool wear and cutting force in cryogenic machining using design of experiments,” Journal of Materials Processing Technology, vol. 203, no. 1, pp. 95–101, 2008. [Online]. Available: https: //doi.org/10.1016/j.jmatprotec.2007.10.036

[23]  D. Montgomery, Design and Analysis of Experiments (fifth edition). John Wiley & Sons, Ltd., 2002. [Online]. Available: http://dx.doi.org/10.1002/qre.458

[24]  J. Montaño Moreno, “Redes neuronales artificiales aplicadas al análisis de datos,” Ph.D. dissertation, Universitat de Les Illes Balears. Islas Baleares, España, 2002. [Online]. Available: https://goo.gl/yVkDrN

[25]  V. N. Gaitonde, S. R. Karnik, B. Siddeswarappa, and B. T. Achyuta, “Integrating box-behnken design with genetic algorithm to determine the optimal parametric combination for minimizing burr size in drilling of aisi 316l stainless steel,” The International Journal of Advanced Manufacturing Technology, vol. 37, no. 3–4, pp. 230–240, 2008. [Online]. Available: https://doi.org/10.1007/s00170-007-0957-4

[26]  [Z. Zhimin, Z. Yuanliang, L. Xiaoyan, Z. Huiyuan, and S. Baoyuan, “Influences of various cutting parameters on the surface roughness during turnings stainless steel,” Acoustical Physics, vol. 57, no. 1, pp. 114–120, 2011. [Online]. Available: https://doi.org/10.1134/S1063771011010209

[27]  J. Campos Rubio, T. H. Panzera, A. M. Abrao, P. F. Faria, and J. Paulo Davim, “Effects of high speed in the drilling of glass whiskerreinforced polyamide composites (pa66 gf30): statistical analysis of the roughness parameters,” Journal of Composite Materials, vol. 45, no. 13, pp. 1395–1402, 2011. [Online]. Available: https://doi.org/10.1177/0021998310381540