|
Artículo Científico / Scientific Paper |
|
|
|
|
||
|
|
pISSN: 1390-650X / eISSN: 1390-860X |
|
|
Sebastián Montero1, Roger Bustamante1,*, Alejandro Ortiz-Bernardin1 |
|
Abstract |
Resumen |
||
|
In the present paper the behaviour of a hyperelastic body is studied, considering the presence of one, two and more spherical inclusions, under the effect of an external tension load. The inclusions are modeled as nonlinear elastic bodies that undergo small strains. For the material constitutive relation, a relatively new type of model is used, wherein the strains (linearized strain) are assumed to be nonlinear functions of the stresses. In particular, it is used a function such that the strains are always small, independently of the magnitude of the external loads. In order to simplify the problem, the hyperelastic medium and the inclusions are modelled as axial-symmetric bodies. The finite element method is used to obtain results for these boundary value problems. The objective of using these new models for elastic bodies in the case of the inclusions is to study the behaviour of such bodies in the case of concentration of stresses, which happens near the interface with the surrounding matrix. From the results presented in this paper, it is possible to observe that despite the relatively large magnitude for the stresses, the strains for the inclusions remain small, which would be closer to the actual behaviour of real inclusions made of brittle materials, which cannot show large strains. |
En el presente artículo se estudia el comportamiento de un sólido hiper-elástico con una, dos y más inclusiones esféricas, bajo el efecto de una carga externa de tracción. Las inclusiones se modelan como sólidos elásticos con comportamiento no-lineal y que presentan pequeñas deformaciones, usando un nuevo modelo propuesto recientemente en la literatura, en donde las deformaciones (caso infinitesimal) se expresan como funciones no-lineales de las tensiones. En particular, se consideran expresiones para dichas funciones que aseguran que las deformaciones están limitadas en cuanto a su magnitud independientemente de la magnitud de las cargas externas. Como una forma de simplificar el problema, el medio hiper-elástico y las inclusiones se modelan como sólidos axil-simétricos. El método de elementos finitos es usado para obtener resultados para estos problemas de valor de frontera. El objetivo del uso de los nuevos modelos para cuerpos elásticos para el caso de las inclusiones, es estudiar el comportamiento de dichos cuerpos en el caso de concentración de tensiones, lo cual ocurre cerca de la zona de interface con la matriz. De los resultados mostrados en este trabajo, es posible apreciar que a pesar de los valores relativamente altos para las tensiones, las deformaciones se mantienen pequeñas, lo cual sería mucho más cercano al comportamiento esperado en la realidad, cuando se trabaja con inclusiones hechas de un material frágil, el cual no puede mostrar grandes deformaciones. |
||
|
|
|
||
|
|
|||
|
1,* Department of Mechanical Engineering,
University of Chile – Chile. Author for correspondence |
|||
|
69
|
|||
|
|
||||||||||
|
|
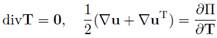
And from (10), we obtain the representation
Where The following particular expression for II is considered:
Where α, β, γ and ι are constants. Eq. (13) has been used in Ref. [17] to study problems, where independently of the magnitude of the stresses, the strains remains small. It is necessary to point out that this form for II and the numerical values of the constant that are shown in Table 1, have not been obtained from experimental data. In Figures 1, 2 presented in Ref. [17], some plots for the behavior of a cylinder under tension are shown, where it is possible to observe that the strains remain always small independently of the magnitude of the stresses. As indicated in the introduction section, such particular expressions could be important for fracture analysis of brittle bodies. Finally, in Table 1 the numerical values of the constants used in (6) and (13) are presented.
Chart 1. Values for the constants used in (6) and (13).
2.3. Boundary value problems
For the hyper-elastic cylinder, the boundary value problem is the classical formulation in nonlinear elasticity, where the function –(X) is found by solving the equilibrium equation in the reference configuration (see, for example, Ref. [4])2:
Where (5), respect to the reference configuration. Eq. (14) must be solved using the boundary conditions
Where in the reference
configuration,
|
|
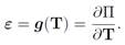
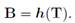
configuration), and x is a known deformation field on some part of the surface of the hyper-elastic body. For the inclusions we consider small strains and displacements. And following what has been presented in Refs. [16, 17], for the boundary value problem corresponds to find T and u by solving (see (3), (4) and (10))
simultaneously. In the above system we have 9 equations for a fully 3D problem, and 9 unknowns that correspond to the components of the stress tensor and the displacement field. Regarding the boundary conditions we have in general
Where
3. Axial-symmetric models
For simplicity, the hyper-elastic matrix is considered to be a cylinder of radius R and length L (see, for example, Figure 1). For a cylinder with one inclusion, it is assumed that the
inclusion is located in the center of the cylinder, and that the radius of
that spherical body is
Figure 1. Hyper-elastic cylinder with one inclusion.
The center of the sphere is located at z = L/2. On the surface z = L we apply a uniform axial load σ. On |
|
The inclusions are separated to each other by the same distance h. As in the previous case, they are modelled using (10), and the center point for all the inclusions is located in the center of the cylinder.
For the
different models mentioned previously, it was assumed that
Chart 2. Cases studied for the cylinder with one inclusion.
For the case of a cylinder
with two inclusions, we assume R = 5
Chart 3. Cases studied for the cylinder with two inclusions.
Finally,
for the case of a cylinder with five inclusions, we assume R = 5
Chart 4. Cases studied for the cylinder with five inclusions.
The boundary value problems were solved using the finite element method with an in-house finite element code (details of the method in which the code is based can be found, for example, in Ref. [16].)
4. Numerical results
4.1. Results for one inclusion
In this section we show some results for a cylinder with one spherical inclusion located on its center (see Figure 1), for the cases indicated in Table 2. In
Figure 4, results are presented for the axial and radial components of the
normalized stress and the components of the strain, for different values for
R, for the case L = 10
|
|
|
|