Artículo Científico / Scientific Paper

 

https://doi.org/10.17163/ings.n19.2018.02

 

pISSN: 1390-650X / eISSN: 1390-860X

 

CaracterizaciÓn de un generador de

flujo axial para aplicaciones en

energÍa eÓlica

 

Characterization of an axial flow

generator for applications in wind

energy

 

Mauricio Carrillo-Rosero1,*, Cristian Claudio-Medina1 , Alex Mayorga-Pardo1

 

Resumen

Abstract

El aprovechamiento de los recursos energéticos no convencionales en los últimos años se ha desarrollado principalmente con la intención de disminuir el uso de combustibles. A mediana y pequeña escala la tendencia mundial, cuando se habla de generación eléctrica utilizando la energía eólica, es el uso de generadores de imanes permanentes. Los generadores de flujo axial son lo que se encuentran con mayor frecuencia a disposición. La principal característica de estos generadores es su capacidad de entregar energía eléctrica a bajas revoluciones, con una eficiencia aceptable. En este proyecto de investigación se caracterizaron dos tipos de generadores de flujo axial; uno con bobinas en serie y otro con bobinas en paralelo, con la intención de valorar el rendimiento de cada uno. El diseño parte de la determinación del flujo magnético, número de revoluciones, número de polos, número de bobinas, voltaje de salida y pérdidas eléctricas, para luego realizar el contraste a través de la toma de datos de amperaje y voltaje con respecto al cálculo teórico; la finalidad es establecer la eficiencia que presentan cada una de las configuraciones. Se estableció que el generador en serie posee características que lo convierten en una configuración que tiene una eficiencia mayor que la del generador en paralelo.

The use of unconventional energy resources in recent years has been developed mainly with the intention of reducing the use of fuels. At medium and small scale the global trend, when talking about electricity generation using wind energy, is the use of permanent magnet generators. Axial flow generators are the most often available. The main characteristic of these generators is their ability to deliver electrical power at low revolutions, with an acceptable efficiency. In this research project two types of axial flow generators were characterized; one with coils in series and another with coils in parallel, with the intention of evaluating the performance of each one. The design starts from the determination of the magnetic flux, number of revolutions, number of poles, number of coils, output voltage and electrical losses, to then carry out the contrast through the data acquisition of amperage and voltage with respect to the theoretical calculation; the purpose is to establish the efficiency of each of the configurations. It was established that the series generator has characteristics that make it a configuration that has an efficiency greater than that of the generator in parallel.

 

 

 

Palabras clave: Generadores, flujo axial, imanes permanentes, energía eólica, eficiencia

 

 

Keywords: Generators, flow, axial, energy, wind, efficiency.

1,* Facultad de Ingeniería Civil y Mecánica, Universidad Técnica de Ambato - Ecuador. Autor para correspondenciacorrespondencia : cmcarrillo@uta.edu.ec. http://orcid.org/0000-0001-6578-9362, http://orcid.org/0000-0001-7091-3516, http://orcid.org/0000-0001-8875-8470.

 

Recibido: 11-05-2017, aprobado tras revisión: 27-10-2017

Forma sugerida de citación: Carrillo, M.; Claudio, C.; Mayorga, A. (2018). «Caracterización de un generador de flujo axial para aplicaciones en energía eólica ». Ingenius. N.º 19, (enero-junio). pp. 19-28. doi: https://doi.org/10.17163/ings. n19.2018.02.

 

 

19

 

 

20

INGENIUS N.º 19, enero-junio de 2018

 

 

1. Introducción

La demanda creciente de combustibles fósiles, junto a la disminución de sus reservas, ha desatado un continuo aumento de los precios que afecta a la economía mundial. Además, el uso de estos combustibles produce gases, como el dióxido de carbono (CO2), cuyo efecto invernadero provoca el incremento de la temperatura de la superficie del planeta [1].

Según la WWEA en su boletín informativo de septiembre de 2016, manifiesta que, a finales de 2014, la capacidad instalada de viento a pequeña escala, registró más de 830 MW a nivel mundial. Esto representa una tasa de crecimiento del 10,9 % sobre 2013, cuando se registraron 749 MW. El año 2013 fue un 10,3 % superior al total de 678 MW instalados en 2012. China representa el 41 % de la capacidad global, los Estados Unidos el 30 % y el Reino Unido el 15 %. A finales de 2014, un total acumulado de al menos 945 000 pequeños aerogeneradores se instalaron en todo el mundo. Se trata de un aumento del 8,3 % (7,4 % en 2013) en comparación con el año anterior, cuando se registraron 872 000 unidades [2]. Se estima que la capacidad en la industria mini-eólica para el año 2020 podría suministrar 50 000 MW en todo el planeta [1].

Para ayudar a reducir costos y minimizar el mantenimiento tanto como sea posible, muchos de los desarrolladores de turbinas eólicas emplean generadores de imanes permanentes (GIP) de impulsión directa (sin caja de engranajes) mientras tengan un diseño de generador mecánicamente simple. Se pueden utilizar varias topologías de generador de imanes permanentes [3].

Un diseño adecuado para un generador con flujo axial de estator central, se basa en dos piezas rotóricas que se ubican lateralmente solidarias al eje de la máquina. Esta configuración de dos entrehierros tiene la ventaja de cancelar las fuerzas longitudinales sobre el estator, además, esta topología minimiza la inductancia de dispersión. [4]

El presente proyecto tiene como objetivo la caracterización de GIP de flujo axial en dos configuraciones de bobinas, una en serie y otra en paralelo utilizando imanes de hierro-boro-neodimio, para determinar la eficiencia de cada una de ellas.

 

1.1.   Características del diseño de un generador de flujo axial

 

Consiste en un par de discos delgados de hierro que giran alrededor de un eje perpendicular al mismo, y en cuyo contorno se sitúan un conjunto de imanes, los cuales crean un campo magnético paralelo al eje de giro como se muestra en la Figura 1. La disposición axial para el corte del campo

magnético es paralela respect al embobinado, esta clase de disposición permite una excitación de los electrones sin fricción y oposición magnética, el corte que se realiza es de 180 produciendo menores pérdidas que la generación radial [5].

 

Figura 1. Vista transversal de un generador axial.

 

1.2.   Bobinas con núcleo de aire

 

El conductor se enrolla sobre un soporte hueco y posteriormente se retira este quedando con un aspecto parecido al de un muelle. Se utiliza en frecuencias elevadas. Una variante de la bobina anterior se denomina solenoide y difiere en el aislamiento de las espiras y la presencia de un soporte que no necesariamente tiene que ser cilíndrico. Se utiliza cuando se precisan muchas espiras. Estas bobinas pueden tener tomas intermedias, en este caso se pueden considerar como dos o más bobinas sobre un mismo soporte y conectadas en serie.

Cada bobina produce un voltaje en función de cómo se conecten, que pueden ser de dos tipos: en serie y en paralelo. La conexión en serie consiste en unir el final de la primera bobina con el principio de la siguiente para que los voltajes se sumen, por otro lado, para conexión en paralelo los inicios se conectan entre sí y el voltaje resultante es el mismo que el de una bobina, con la diferencia de que se puede conseguir el doble de corriente. En paralelo es inevitable que el voltaje de salida de cada bobina sea ligeramente diferente lo que conduce a que se generen corrientes parásitas que desperdician energía [6].

En la Figura 2 se observa la conexión de tres bobinas en serie para cada fase y el estator se compone por nueve bobinas en total, por lo tanto, es un generador trifásico. Una ventaja notable de este generador es que para el rectificador solo se tienen tres cables [6].

 

 

 

 

Carrillo et al. / Caracterización de un generador de flujo axial para aplicaciones en energía eólica

21

 

Figura 2. Esquema de conexión de bobinas en serie.

 

En la Figura 3 se tienen diez cables, cada uno conectado en paralelo a su respectiva bobina; el número de cables de salida determina la ubicación del rectificador ya que si se tienen demasiados cables el movimiento del generador en el extremo de la torre queda limitado, lo que implica que el rectificador debe estar ubicado junto al generador y esto ocasiona problemas de mantenimiento; el número de fases no es un problema para la rectificación ya que se pueden variar las conexiones de los puentes para rectificar hasta dos fases por cada uno [6].

 

Figura 3. Esquema de conexión de bobinas en paralelo.

 

1.3.   Imanes permanentes

 

El compuesto básico en los imanes permanentes utilizados en la investigación es en base de neodimio-hierroboro (NdFeB) que tiene baja resistencia a la corrosión por su recubrimiento con capas finas de níquel y cromo para aislar al material base del ambiente, subsanando la desventaja de

 

desmagnetizarse a temperaturas menores como otros compuestos [7]. Se requieren imanes con un alto grado de magnetización, que hagan posible la ubicación de varios imanes en cada rotor [8,9]; además, la dirección de su polarización debe ser pertinente para esta aplicación; por lo que se seleccionaron imanes de neodimio grado 40 (N40)

 

2.       Materiales y métodos

 

En la Figura 4, se muestra el esquema que permite determinar la densidad de flujo magnético a través de la Ecuación 1, aplicable a imanes rectangulares [10].

 

Figura 4. Esquema para la aplicación de la fórmula densidad de flujo.

 

Se determina la densidad de flujo magnético como:

 

 

 

 

(1)

 

Br = Campo remanente independiente de la geometría del imán (1,26 T, que se obtiene de los datos físicos del imán).

z = Distancia sobre el eje de simetría de una superficie polar (10,5 mm que es la mitad de la distancia de los imanes en cada rotor a la que están separados los imanes).

L = Longitud del paralelepípedo (46 mm).

D = Espesor del paralelepípedo (10 mm).

W = Ancho del paralelepípedo (30 mm).

Sustituyendo los datos en la ecuación se tiene:

 

B = 0, 137 T

Para comprobar los datos calculados se realizaron simulaciones en el software FEMM como se muestra en la Figura 5.

 

22

INGENIUS N.º 19, enero-junio de 2018

 

 

Figura 5. Simulación de la densidad de flujo de un imán

vista lateral.

 

En el software se obtiene 0,1357 T que es muy cercano al valor calculado y se lo utiliza para el diseño. Al agregarle una placa de acero de bajo carbono se puede observar en la Figura 6, que los valores de flujo prácticamente se duplican por el efecto de concentración y aislamiento magnético que poseen los aceros.

 

Figura 6. Simulación de la densidad de flujo de un imán

pegado a una placa de acero, vista lateral.

 

Finalmente, se analiza el sistema de dos placas con imanes enfrentados como se muestra en la Figura 7, para obtener el flujo total.

 

Figura 7. Simulación de la densidad de flujo de dos placas

con imanes enfrentados, vista lateral.

 

 

Se tiene que el flujo entre las placas es de 0,5621 T (aproximadamente la mitad del flujo remanente) por lo cual queda confirmada la regla que propone [6]: «Si hay imanes en ambos discos y el hueco entre ellos es más o menos igual a la longitud combinada de los imanes, B será la mitad del flujo remanente».

 

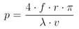
2.1.   Determinación del número de revoluciones para el funcionamiento

Para determinar este valor es necesaria la razón de velocidad de punta que es el índice de la velocidad rotacional de las palas respecto a la velocidad del viento como se indica en la ecuación (2).

 

 

(2)

Donde:

 

λ = Razón de velocidad de punta (se utilizará un valor recomendado de 7 para todos los cálculos).

ω = Velocidad angular (rad/s).

 

r = Radio del aspa (m) (se utiliza un valor de 1,5 para todos los cálculos).

v = Velocidad de viento (m/s).

 

Para determinar la velocidad en rpm se utiliza la ecuación (3) [11].

 

 

(3)

 

2.2.   Determinación del número de polos

 

De acuerdo con [12] el número de polos se calcula con la ecuación (4) siendo f la frecuencia eléctrica:

 

 

(4)

 

Utilizando la ecuación (4) se obtiene la Tabla 1, fijando como frecuencia máxima 60 Hz disponible en la red eléctrica.

De la Tabla 1 se desprende que mientras mayor sea la frecuencia más polos se necesitan; además, si la velocidad de viento es baja se requiere un mayor número de polos para alcanzar la frecuencia requerida. Tomando en cuenta la recomendación de [6] se elige un número de 24 polos (12 en cada rotor) con el que se garantiza una adecuada distribución de los imanes en los rotores. El valor de la frecuencia de funcionamiento no tiene por qué ser alto ya que en la rectificación se obtiene corriente directa que carece de frecuencia.

 

Carrillo et al. / Caracterización de un generador de flujo axial para aplicaciones en energía eólica

23

 

Tabla 1. Datos físicos de los imanes

 

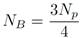
2.3.   Determinación del número de bobinas

 

De acuerdo con [6] el número de bobinas está en función de los polos disponibles:

 

 

(5)

 

Donde:

 

NB = Número de bobinas.

NP = Número de polos del rotor.

 

La relación es por cada 4 pares de polos 3 bobinas, aplicando la ecuación (5) se obtiene un número de 9 bobinas; con esta distribución se garantiza que se sincronicen 3 imanes con 3 bobinas al mismo tiempo [11], permitiendo que la fuerza electromotriz (fem) inducida se sume.

Para poder realizar la comparación entre generadores con diferentes conexiones de bobinas, se ha decidido, ensayar otro generador con 10 bobinas conectadas todas en paralelo; este arreglo es propuesto por [6] y garantiza que con este generador se puede cargar una batería.

 

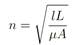
2.4.   Número de espiras por bobina

 

Las dimensiones de la bobina quedan determinadas por las medidas del imán ya que la bobina debe proporcionar una sección hueca para el paso del campo magnético, como se trata de bobinas con núcleo de aire con soporte se considera una inductancia de 1 mH para este dimensionamiento.

 

(6)

 

Donde:

n = Número de espiras.

l = Longitud de la bobina (0,013 m)

L= Inductancia (1 mH).

μ = Permeabilidad del núcleo ()

A = área de la sección transversal ()

 

Por cuestiones de espacio y empaquetamiento se ha utilizado para la construcción de las bobinas alambre AWG 14 con un diámetro de 1,63 mm [6].

En la Tabla 2 se recogen los parámetros necesarios para la construcción del estator

 

Tabla 2. Parámetros estator

 

 

2.5.   Distribución de bobinas

 

El estator construido debe permitir el paso de los tornillos que unen los rotores, por lo que se ha dejado la parte central vacía y con forma circular. Para esto [6] recomienda el uso de una «isla» que no es más que una sección circular de madera como se muestra en la Figura 8. El diámetro de la isla (DIS) es de 13 cm.

 

Figura 8. Ubicación de bobinas.

 

El estator terminado se puede ver en la Figura 9, el pie de las bobinas está ubicado a 1 cm del agujero. A partir de estas medidas se sitúan los imanes sobre discos de acero de forma que su perímetro coincida con los espacios internos de las bobinas.

 

24

INGENIUS N.º 19, enero-junio de 2018

 

 

Figura 9. Estator

 

2.6.   Distribución de los imanes

 

Se distribuyen los 12 imanes simétricamente en cada disco rotor, donde el diámetro de estos está en función del que tiene la isla, como se muestra en la Figura 10, la distancia al pie de las bobinas y el ancho de las mismas (AB). Entonces el diámetro al pie de los imanes (DIM) expresado en centímetros es:

 

(7)

 

 

Figura 10. Ubicación de los imanes

 

2.7.   Determinación de las pérdidas eléctricas

         Pérdidas por resistencia en las bobinas del

generador en serie:

 

La resistencia medida en dos fases o 6 bobinas es 2,2 Ω por lo tanto la resistencia por bobina es 0,37 Ω para determinar la resistencia en el estator según [6] se considera que 2 fases siempre siempre están trabajando y se deduce que la resistencia en el estator es:

 

(8)

Donde:

= Resistencia en el estator.

= Resistencia por bobina.

 

Se tiene una resistencia en el estator de 2,22 Ω

 

         Pérdidas por resistencia en las bobinas del

generador en paralelo:

 

La resistencia por bobina es de 0,26 Ω y por su configuración esa es la resistencia del estator debido a que solo una bobina funciona a la vez.

 

         Pérdidas por resistencia en las bobinas:

 

La resistencia que presentan las espiras de las bobinas impide que la corriente pueda fluir completamente libre, ya que todo material posee cierta resistencia eléctrica, de ahí se determina si los materiales son buenos o malos conductores, estas se evalúan mediante la ecuación:

 

(9)

Donde:

 

= Potencia de pérdida en las bobinas.

I = Intensidad de corriente que circula en los bobinados.

 

         Pérdidas en el rectificador:

 

Luego de la recolección de corriente en los extremos de las bobinas lo siguiente es el proceso de rectificación, de alterna a directa. El método de rectificación escogido para esta aplicación es de onda completa, con puentes rectificadores. Para el generador en serie se utilizaron tres puentes y para el generador en paralelo cinco. La intención es aprovechar al máximo la corriente alterna generada. Cada fase se distribuye para cuatro diodos lo que reduce el calentamiento y, por lo tanto, su desgaste. La única desventaja de este arreglo es la caída de voltaje de 1,4 voltios para los dos generadores.

 

(10)

 Finalmente, las pérdidas eléctricas totales () son:

 

(11)

(12)

 Mientras mayores sean las pérdidas menor será la eficiencia, pero para poder determinar esto se deben analizar las tendencias de generación.

 

 

 

Carrillo et al. / Caracterización de un generador de flujo axial para aplicaciones en energía eólica

25

 

2.8.   Determinación de eficiencias

 

La potencia de salida (Ps) es obtenida a partir del voltaje y amperaje medidos, la eficiencia (η) está determinada por la potencia de salida neta y las pérdidas, el generador debe proporcionar el valor de potencia neta más las pérdidas, por lo tanto:

 

(13)

 

3.       Resultados y discusión

 

Los datos de tensión e intensidad de corriente fueron obtenidos haciendo funcionar cada uno de los generadores a diferentes valores de velocidad angular (en rpm), haciendo girar los rotores en el mandril de un torno como se puede observar en la Figura 11. Para provocar carga en el generador se utilizó un reóstato con distintos valores de resistencia conectado a la salida de este.

 

 

Figura 11. Montaje del generador en el torno.

 

Mediante este arreglo se obtuvieron los datos de voltaje y amperaje al mismo tiempo con la ayuda de dos multímetros conectados como en la Figura 12.

 

Figura 12. Esquema de conexión.

 

Con los datos obtenidos se realizan gráficas tomando en cuenta que todos los valores están en función de la velocidad angular ya que de esta dependen principalmente las variaciones de generación.

En las Figuras 13 a 15 se presentan las gráficas con los datos del generador de bobinas en paralelo:

 

Figura 13. Intensidad de corriente a distintos valores de

resistencia.

 

La variación de la intensidad es proporcional a la velocidad angular como se muestra en la Figura 13, observándose que cuanta más alta sea la resistencia de la carga y aumente la velocidad angular, disminuye el amperaje.

 

 

Figura 14. Fuerza electromotriz a distintos valores de resistencia.

 

Como la tensión es proporcional a la corriente de acuerdo con la ley de Ohm, se observa en la Figura 14 un incremento de voltaje a medida que aumenta el valor de la resistencia, siendo más significativo a altas velocidades angulares.

En la Figura 15 se muestra el comportamiento de la potencia del generador frente a su velocidad angular. Hasta los 250 rpm no hay un aumento importante de potencia. Cuando aumenta la velocidad de los rotores la potencia se incrementa siendo más evidente ese aumento a baja resistencia.

 

 

 

26

INGENIUS N.° 19, enero-junio de 2018

 

Figura 15. Potencias a distintos valores de resistencia.

 

En las Figuras 16 a 18 se presentan las gráficas con los datos del generador de bobinas en serie.

El comportamiento del amperaje es creciente en todos los casos como se muestra en la Figura 16 y se debe destacar que mientras menor sea la resistencia mayor es el amperaje.

 

Figura 16. Amperajes a distintos valores de resistencia.

 

 

En la Figura 17 se aprecia que hay variaciones importantes en los valores de voltaje. Si se toma crecimientos del 100 %, tanto en resistencia como en velocidad angular, el voltaje tiene un crecimiento del 120 % a una misma carga.

 

Figura 17. Voltajes a distintos valores de resistencia.

 

 

Esta es una característica muy favorable para este generador ya que a pesar de que su amperaje cambie notablemente como se vio en la Figura 16, el comportamiento del voltaje es lineal.

El incremento de la resistencia impide el libre paso de corriente como se puede apreciar en la Figura 18.

 

Figura 18. Potencias a distintos valores de resistencia.

 

Esto ocasiona que la potencia sea menor a alta carga a pesar del aumento de la velocidad angular en el generador.

En las Figuras 19 a 22 se comparan las características teóricas con las experimentales de los generadores en serie y paralelo. El valor escogido para la resistencia es de 5 Ω, que genera el amperaje o corriente suficiente, así como también, el voltaje a velocidades angulares comunes en el uso de microgeneradores eólicos. Además, se debe vencer la resistencia provocada por un regulador de carga, el cableado y las baterías a cargar.

A pesar de que el generador de bobinas en paralelo posee una bobina más que el generador en serie, se puede notar claramente en la Figura 19 la diferencia de voltajes.

 

Figura 19. Comparaciones de voltajes teórico y medido.

 

Esto se debe a que en el generador en serie las tres bobinas actúan como una sola por su conexión, con la diferencia de que son tres pares de imanes los que actúan a la vez. Esto ocasiona que el voltaje sea mucho mayor que en el caso del generador de bobinas en paralelo, en el que solo

 

 

Carrillo et al. / Caracterización de un generador de flujo axial para aplicaciones en energía eólica

 

27

 

actúa una bobina a la vez con un par de imanes.

Como se puede observar en la Figura 20 el generador en serie supera al generador en paralelo al proporcionar mayor amperaje. Esto permite cargar rápidamente la batería para el almacenamiento de la energía o se puede incrementar su número.

 

Figura 20. Comparaciones de amperajes teórico y medido.

 

 

Las potencias determinadas en la Figura 21 no son más que el reflejo de los valores de voltaje y amperaje, por lo tanto, son directamente proporcionales.

En el caso de la potencia, los valores medidos tienden a comportarse de manera cuadrática.

 

Figura 21. Comparaciones de potencias teórica y medida.

 

 

El amperaje y el voltaje obtenidos en ambas pruebas del generador de bobinas en serie son mayores e implica que su potencia también lo sea.

 

En cuanto a la eficiencia de los generadores, la Figura 22 muestra que a pesar de que el generador en paralelo sea superado en voltaje y amperaje por el generador en serie, es más eficiente.

 

 

 

Figura 22. Comparaciones de eficiencia teórica y medida.

 

Este hecho es razonable ya que en el generador en serie las resistencias por fase se suman, provocando más pérdidas; en el generador en paralelo solo se tiene una resistencia por fase.

Estas cualidades deben ser consideradas para su selección tomando en cuenta el requerimiento energético. Si se necesita voltajes y amperajes elevados y una eficiencia razonable, se ha de seleccionar el generador en serie; pero si lo que se busca es mayor estabilidad de voltaje y amperaje a bajas revoluciones con mayor eficiencia el generador en paralelo es el indicado.

 

4.       Conclusiones

 

Los principales parámetros para el dimensionamiento de un generador de flujo axial son la selección de imanes, determinación de la densidad de campo, número de polos, número de bobinas, número de espiras por bobina, calibre del cable para las bobinas y distribución simétrica de imanes y bobinas.

Las dimensiones de los discos para los rotores y las medidas del estator están determinadas por la disposición de las bobinas, cuanto más grandes sean estas y mayor su número, más grandes serán los discos y por lo tanto el estator.

El estudio mostró que la mejor configuración para la conexión de bobinas es en serie por el mejor aprovechamiento de la distribución de imanes y la cualidad de sumar las fem de cada grupo de bobinas. Sin embargo, el generador en serie presenta mayores pérdidas, lo que indica que tendrá más problemas por calentamiento que el generador en paralelo.

Los generadores de flujo axial proporcionan voltajes y amperajes muy buenos a bajas revoluciones. Esto destaca los beneficios que tienen estos generadores para aplicaciones en energía eólica a pesar de que se tenga un potencial eólico bajo o limitado.

Si se compara los resultados teóricos con los experimentales, los generadores de flujo axial son adecuadospara generación de electricidad a pequeña escala. Si el generador trifásico es probado en un lugar en que la velocidad

 

28

INGENIUS N.° 19, enero-junio de 2018

 

media de viento esté comprendida entre 4 a 8 m/s, con velocidades de giro de rotor de 220 a 450 rpm; el amperaje alcanzado va de 3 a 7 amperios; además, si se considera que en el día se tienen de 4 a 8 horas con esta velocidad de viento, se tiene de 18 a 24 amperios-hora en el día aproximadamente, lo que representa una cuarta parte del amperaje total de una batería común de 100 Ah.

 

Referencias

 

[1]      Arraña, E. Marino, P. Bertinat, J. Salerno, J. Chemes, M. Barone, and J. Saenz, “Estado del arte en el desarrollo de pequeños generadores eólicos,” Avances en Energías Renovables y Medio Ambiente, vol. 16, pp. 41-48, 2012. [Online]. Available: https://goo.gl/kQEezZ

[2]      WWEA, “Reporte anual de la energía eólica en el mundo 2010,” in 10a Conferencia Mundial sobre Energía Eólica y exhibición de Energías Renovables, 2011. [Online]. Available: https://goo.gl/z7wYsP

[3]      J. R. Bumby and R. Martin, “Axial-flux permanent-magnet air-cored generator for smallscale wind turbines,” IEE Proceedings - Electric Power Applications, vol. 152, no. 5, pp. 1065-1075, Sept 2005. [Online]. Available: https://doi.org/10.1049/ip-epa:20050094

[4]      W. Rogel and R. Alejandro, “Diseño de un generador de flujo axial con imanes permanentes para aplicaciones eólicas,” Revista Facultad de Ingeniería, pp. 3-12, 2000. [Online]. Available: https://goo.gl/WwuQfq

[5]      A. Carvajal and L. Muñoz, “Ecoductos energéticos: Explotación de la energía cinética del gas para generación de energía eléctrica.” Tesis de Grado, Universidad Nacional Abierta y a

Distancia, Colombia, 2012. [Online]. Available: https://goo.gl/bw6JpJ

[6]      H. Piggott, “Manual para la autoconstrucción de generadores eólicos.” Bajatec manuales, 2009, pp. 24-60.

[7]      R. Muñoz, “Generalidades sobre imanes permanentes y su caracterización.” Instituto Nacional de Tecnología Industrial, 2008. [Online]. Available: https://goo.gl/U4wrrX

[8]      L. Herrera, A. Alarcón, and E. RivasTrujillo, “Diseño de un generador de flujo axial usando el método de elementos finitos,” Redes de Ingeniería, vol. 4, no. 2, pp. 6-15, 2013. [Online]. Available: https://goo.gl/wD7ywj

[9]      C. Brad, I. Vadan, and I. Berinde, “Design and analysis of an axial magnetic flux wind generator,” in 2017 International Conference on Modern Power Systems (MPS), June 2017, pp. 1-7. [Online]. Available: https://doi.org/10.1109/MPS.2017.7974377

[10]   Supermagnete. (2016) Bloques magnéticos. [Online].

Available: https://goo.gl/S3N7E5

[11]  P. Wannakarn, T. Tanmaneeprasert, N. Rugthaicharoencheep, and S. Nedphograw, “Design and construction of axial flux permanent magnet generator for wind turbine generated dc voltage at rated power 1500 w,” in 2011 4th International Conference on Electric Utility Deregulation and Restructuring and Power Technologies (DRPT), July 2011, pp. 763-766. [Online]. Available: https://doi.org/10.1109/DRPT.2011.5993994

[12]   J. Murillo, “Diseño de un alternador de flujo axial con imanes permanentes,” Escuela Universitaria de Ingeniería Técnica Industrial, 2012. [Online]. Available: https://goo.gl/pbqSEz